Actualitat de l´Alt Vinalopó, el Vinalopó Mitjà, l´Alcoià, El Comtat i l´Alacantí
Comunitat Valenciana

UI CCOO Vinalopó-Vega Baja: «Registro evolutivo de los datos de afiliación a la Seguridad Social»

UI CCOO Vinalopó-Vega Baja: "Registro evolutivo de los datos de afiliación a la Seguridad Social"

Registro evolutivo de la afiliación a la Seguridad Social en Vinalopó-Vega Baja

Desde la UI CCOO Vinalopó-Vega Baja realizamos un registro evolutivo de los datos de afiliación a la Seguridad Social. Adjuntamos la información correspondiente a los datos del mes de Febrero y Marzo desagregados por municipios, comarcas del Vinalopó y la Vega Baja, provincia de Alicante, Comunitat Valenciana y España.

ESPAÑA:

MEDIA DE AFILIACION: Febrero y Marzo.

La media de afiliaciones en el mes de Febrero se sitúa en 19.250.229 personas y supone un aumento sobre el mes de anterior de 85.735, así mismo supone una cifra acumulada durante todo el año al citado mes de -158.309 personas, estos datos refleja la media de días que el total de personas han estado de alta en la Seguridad Social.

La media de los datos de Marzo – situación de la pandemia – es de 19.006.760 personas y supone una disminución de -233.469, que acumulados en el año se eleva la media a 401.778 personas, siendo el total 10.122.616 hombres y 8.884.144 mujeres el 53.26% y 46.74% respectivamente.

ULTIMO DÍA AFILIACION: Febrero y Marzo.

El número global de personas registradas en el mes de Febrero se cifra en 19.279.415 personas en España de alta en los distintos regímenes de la Seguridad Social, lo que supone un aumento de 237.820 respecto al mes Enero, con un acumulado hasta Febrero de 17.779 personas, ya que Diciembre del pasado año se cerró con 19.261.636 personas afiliadas a los distintos regímenes de la Seguridad Social, estos datos se refieren al último día del mes de Febrero.

En lo que se refiere a las personas registradas en el mes de MARZO, los datos dan 18.445.436 personas en Alta en los distintos regímenes de la Seguridad Social, lo que supone una DISMINUCIÓN de -833.979 personas, con un acumulado negativo sobre el mes de Diciembre de -816.200 personas.

Por género el total de personas afiliadas es el siguiente:
Febrero: Marzo: Diferencia:
Hombres 10.271.465 el 53.36%. 10.122.616 el 53.26% 148.849 el 61.14% del total
Mujeres 8.978.754 el 46.64%. 8.884.144 el 46.74% 94.620 el 38.86% del total
Total………….19.250.229 19.006.760 243.469 Diferencia Febrero-Marzo.

Y en relación a Marzo de 2019 supone una disminución de 651.353 con referencia al último día de los respectivos meses.

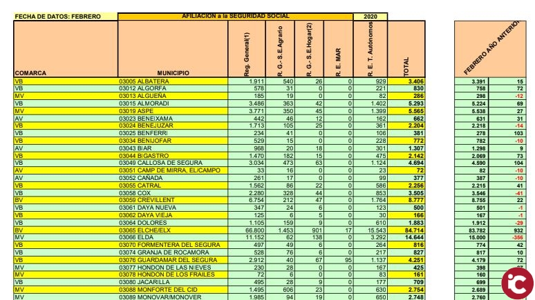
COMARCAS VINALOPO-VEGA BAJA:

En el conjunto de las comarcas Vinalopó-Vega Baja a 29 de Febrero figuraban 264.671 personas afiliadas a la Seguridad Social, distribuidas entre:

Alt Vinalopó: 17.281. (12 más que el mes anterior)
Baix Vinalopó: 101.107. (1.044 más que el mes anterior)
Medio Vinalopó: 46.651. (534 más que el mes anterior)
Vega Baja: 99.632. (1.931 más que el mes anterior)
En el conjunto de las comarcas Vinalopó-Vega Baja a 31 de Marzo figuraban 240.428 personas afiliadas a la Seguridad Social, distribuidas entre:

Alt Vinalopó: 15.350. (1.931 menos que el mes anterior)
Baix Vinalopó: 91.138. (9.969 menos que el mes anterior)
Medio Vinalopó: 39.924. (6.727 menos que el mes anterior)
Vega Baja: 94.016. (5.616 menos que el mes anterior)

Analizando estos datos y en relación a los del anterior mes, se observa una disminución en el conjunto de las Comarcas Vinalopó-Vega Baja de 24.243 personas en las afiliaciones de la Seguridad Social del territorio. El total acumulado desde Marzo-2019 a Marzo-2020 es de 24.664 personas menos afiliadas a la Seguridad Social.

En las tablas adjuntas se pueden analizar estos datos por cada uno de los municipios de las comarcas, en los que se observa el seguimiento de la afiliación.

EVOLUCION AFILIACION 2012-2020 POR MUNICIPIOS:

Adjuntamos una tabla informativa de la evolución de la AFILIACION a la SEGURIDAD SOCIAL, desde el año 2012 a 2019, en estos períodos se refieren siempre a datos al 31 de Diciembre de cada año y los datos 2020 son a fecha 31 de marzo del 2020.

En los informes adjuntos se puede ver los datos en cada Municipio, como así mismo en la Provincia de Alicante, Comunitat Valenciana y España.

Carmen Palomar Román
Secretaria General
16-04-2020.

ANEXOS:
0.- Comunicado.
1.- Datos del mes de Febrero.
2.- Datos del mes de Febrero-Enero.
3.- Datos del mes de Marzo.
4.- Datos del mes de Marzo-Febrero.
5.- Datos informes Mensuales por regímenes.
6.- Datos informes mensuales por Comarcas.
7.- Evolución afiliación 2012 a 2020.


196